Is Bob Marley surrounded by an array of lice bugs and spiders on his die Bob Marley have an array of lice bugs and spiders in his hair when he died. When Bob Marley died they found 19 different species of lice in his dreadlocks. Did Bob Marley Really Have Different Species Of Bugs In His Hair When He Died What Evidence Is There Quora Bob Marley had about 2lbs of lice in his hair. . No its a complete myth. Like the spiders living in dreadlocks myth as well. Ive always heard that Bob Marley at the time of his death had several different species of bugs in his hair. Did Bob Marley Have Parasites In His Hair. This simply is not true. The cost of one went for 2500 as it did for two. As a result of all types of hair interacting with humans spiders or bugs that happen to be human hosts may occur unintentionally. Of course truth is often stranger then fiction but all the hair pros I know who might have had access ...
And who was that lawyer. Up to 50 cash back S6 E16. The Case Of Constant Doyle 1963 Perry Mason Bette Davis Mason Raymond THE CASE OF CONSTANT DOYLE TV Summary. . The Case of Constant Doyle is the 169th episode season 6 episode 16 of the television series Perry Mason. View All Photos 18 Critic Reviews for The Case of the Constant Doyle. The Case of Constant Doyle 1963 - Allen H. The Case of Constant Doyle 13163 Bette Davis as Constant Doyle Michael Parks as Cal Leonard Peggy Ann Garner as Letty Arthur Frances Reid as Miss Givney Les Tremayne as Lawrence Otis Neil Hamilton as Fred McCormick George Mitchell as Desk Sergeant Jerry Oddo as Steven Arthur John Dennis as Police Lieutenant Willis Bouchey as Judge Dick Wilson as Prisoner. Later she has to clear the young man of a murder charge as well as clear the reputation of her late husband. From The Perry Mason TV Show Book Revised After Cal Leonard Michael Parks of Then Came ...
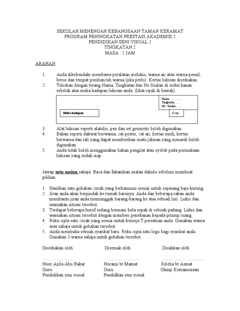
Comments
Post a Comment